
지난 강의:
[bskyvision의 선형대수학, 제0강] 동기부여: 선형대수학 F 받았던 학생이 선형대수학을 이용해서 SCI 논문을 쓰다
[bskyvision의 선형대수학, 제1강] 벡터와 선형결합
지난 시간에 우리는 벡터가 무엇인지, 그리고 그 벡터들을 선형결합한다는 것이 어떤 것인지에 대해서 배웠습니다. 오늘은 벡터의 점곱(dot product)과 길이(length)에 대해서 살펴보도록 하겠습니다. 준비되셨죠? 자, 시작합니다.
점곱(dot product)
점곱은 내적(inner product)이라고도 부릅니다. 아마 내적이란 단어가 좀 더 익숙한 분들이 많으실 것입니다. 두 벡터의 점곱은 다음과 같이 정의됩니다. 점곱은 같은 위치의 성분끼리 곱해준 것들을 모두 더하는 것입니다.

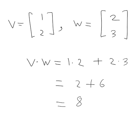
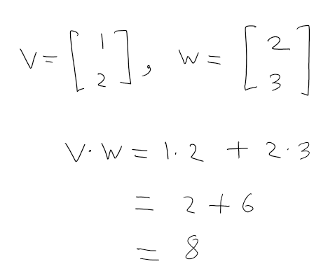
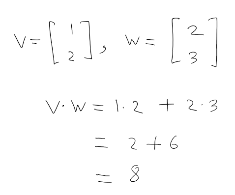
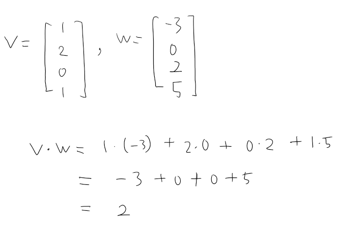
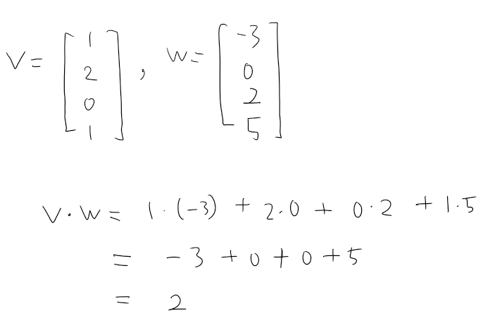
만약 v와 w가 다음과 같다면, 두 벡터의 점곱은 이렇게 계산됩니다.

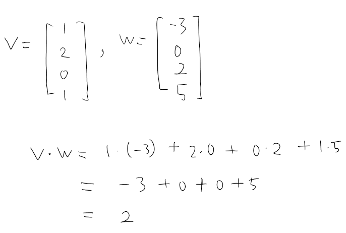
보시다시피 점곱의 결과는 벡터가 아닌 하나의 숫자로 나타나게 됩니다. 3, 4, 5, 100차원의 벡터들의 점곱도 마찬가지로 동일한 방식으로 구하면 됩니다.

점곱의 결과가 0이라면?
만약 점곱의 결과가 0이 된다면, 이때는 상당히 중요한 기하하적(geometrical) 의미를 갖습니다.

어떤 기하학적 의미를 갖고 있는지 파악하기 위해 이 두 벡터를 그려보겠습니다.

서로 수직(perpendicular) 관계에 있죠? 그렇습니다. 점곱이 0이라면, 두 벡터는 서로 수직 관계를 갖습니다. 상당히 중요한 내용이니 꼭 기억하고 넘어가세요.
길이(length)
어떤 벡터를 벡터 자신과 점곱해주는 것도 가능하겠죠?

이 결과에 루트를 씌워주면 그것은 바로 그 벡터의 길이가 됩니다. 왜 이것이 그 벡터의 길이가 되는가 하면 피타고라스의 원리를 잘 생각해보면 됩니다.

따라서, 벡터 자신과의 점곱은 벡터 길이의 제곱입니다.

제가 여기서 놈(norm)이라는 것을 적어놨는데, 놈이란 것은 벡터의 길이를 측정하는 방법을 뜻합니다. 발음이 조금 이상하죠? 놈, 노름 등으로 발음하는데 뭐 다 이상하긴 마찬가지니 놈으로 그냥 표기하겠습니다. 벡터의 길이를 측정하는 놈에는 L0 놈, L1 놈, L2 놈, L-무한대 놈 등 다양한 방식이 있는데, 여기서는 가장 일반적인 L2 놈이 사용되었습니다.
단위 벡터(unit vector)
만약 어떠한 벡터를 자신의 길이로 나눠주면 어떻게 될까요?

그러면 길이가 1이 되어 버립니다. 길이가 1인 벡터를 단위 벡터(unit vector)라고 부릅니다.

우리의 인생도 속도보다는 방향이 중요하듯이, 벡터의 경우도 길이보다도 방향이 중요합니다. 이렇게 어떤 벡터를 자신의 크기로 나눠줘서 단위 벡터를 구하면, 그 벡터의 방향에만 집중할 수 있는 효과가 있습니다. 왜냐하면 길이는 스칼라 곱을 통해서 언제든 늘였다가 줄였다가 할 수 있기 때문입니다.

2차원 공간에서 존재하는 모든 단위벡터를 그리면 반지름이 1인 원을 이룹니다. 또한 3차원 공간에서 존재하는 모든 단위벡터를 그리면 반지름이 1인 구를 만들어냅니다.

가장 간단한 2차원 단위벡터에는 다음과 같은 것들이 있습니다.

만약 2차원 단위벡터를 일반적으로 표현하고자 하면, 삼각함수를 이용해서 다음과 같이 표현할 수 있습니다.

왜냐하면, 직각삼각형에서 빗변이 1인 상황이기 때문에 밑변은 cos(세타), 높이는 sin(세타)가 됩니다.

두 벡터 사이의 각도
우리는 아까 두 벡터의 접곰이 0이면 서로 수직(90도)이라는 것에 대해 살펴봤습니다. 그렇다면 만약 접곰이 음수가 나오거나 양수가 나올 때는 어떤 기하학적 의미를 갖고 있을까요? 지금은 각도가 중요한 상황이니 두 개의 단위벡터를 가지고 생각해보겠습니다.

여기서 보시면 두 단위벡터의 점곱은 cos(세타)가 됩니다.

코사인 함수는 위와 같이 그려지기 때문에 두 벡터 사이의 각도 (세타)가 90도보다 크면 음수가 되고, 90도보다 작으면 양수가 됩니다. 90도일 때는 0이 되고요. 따라서 점곱이 음수라는 뜻은 두 벡터가 서로 둔각을 이룬다는 뜻이고, 양수라는 뜻은 서로 예각을 이룬다는 뜻입니다.

또한 코사인 함수는 최대 1, 최소 -1의 값을 갖기 때문에 두 단위벡터의 점곱은 다음과 같은 값의 범위를 갖습니다.

우리는 이제 다음과 같은 공식을 하나 도출해낼 수 있습니다. 두 벡터 v, w의 단위벡터의 점곱은 cos(세타)이다. 이 공식을 코사인 공식(cosine formula)이라고 부릅니다.

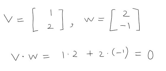
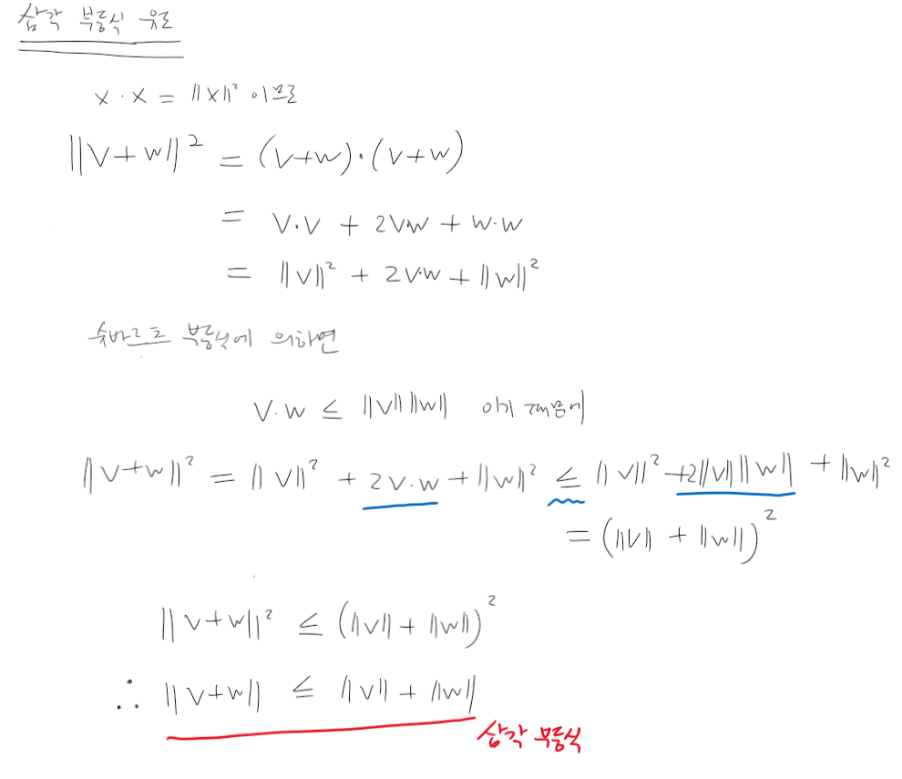
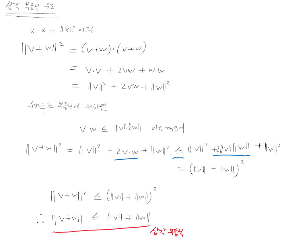
슈바르츠 부등식(Schwarz inequality)과 삼각 부등식(Triangle inequality)
방금 살펴본 코사인 공식으로부터 우리는 수학에서 매우 중요한 두 가지 부등식을 유도해낼 수 있습니다. 하나는 슈바르츠 부등식이고, 또 하나는 삼각 부등식입니다.

슈바르츠 부등식은 코시-슈바르츠 부등식으로 부르기도 합니다.
먼저 슈바르츠 부등식부터 유도해보겠습니다. 두 단위벡터의 점곱이 -1보다 크거나 같고, 1보다 작거나 같다는 것에서부터 시작합니다.

이번에는 삼각 부등식을 유도해보겠습니다.

보시다시피 코사인 공식에서 슈바르츠 부등식을 유도하고, 또 슈바르츠 부등식에서 삼각 부등식을 유도해낼 수 있습니다. 찬찬히 한번 유도하는 과정들을 적어보면서 이해해보시면 그렇지 어렵지 않으실 것입니다.
제2강 끝
오늘은 지난 시간에 비해 내용이 조금 많았습니다. 힘드셨죠? 그러나 끝까지 집중해서 읽어오신 분들은 분명 수확이 있었을 것입니다. 이해가 안되는 부분이 있다면, 댓글로 남겨주시면 좀 더 자세하게 설명해드리도록 하겠습니다. 수고하셨습니다!
이 글의 내용 및 그림들은 함부로 가져가지 말아주세요.
제가 꽤 많은 시간을 투자해서 작성하고 그린 것이니 이곳에서만 봐주시길 바랍니다.
이 글을 어딘가에 링크를 거는 것은 괜찮습니다.
'Research > 선형대수학' 카테고리의 다른 글
| [bskyvision의 선형대수학, 제6강] 행렬을 이용한 소거법 (14) | 2021.03.01 |
|---|---|
| [bskyvision의 선형대수학, 제5강] 소거법 (elimination) (10) | 2021.02.17 |
| [bskyvision의 선형대수학, 제4강] row picture와 column picture (6) | 2021.02.08 |
| [bskyvision의 선형대수학, 제3강] 행렬 (10) | 2021.02.01 |
| [bskyvision의 선형대수학, 제1강] 벡터와 선형결합 (6) | 2021.01.18 |
| [bskyvision의 선형대수학, 제0강] 동기부여: 선형대수학 F 받았던 학생이 선형대수학을 이용해서 SCI 논문을 쓰다 (8) | 2021.01.13 |
| [선형대수학] 놈(norm)이란 무엇인가? (13) | 2020.06.25 |
| [선형대수학] 고유값과 고유벡터의 물리적 의미는? (4) | 2019.12.23 |