
지난 강의:
[bskyvision의 선형대수학, 제0강] 동기부여: 선형대수학 F 받았던 학생이 선형대수학을 이용해서 SCI 논문을 쓰다
자, 이제 그러면 본격적으로 선형대수학 공부를 함께 시작해봅시다. 제0강을 읽지 않으신 분은 한번 읽고 오시는 것을 권해드립니다. 좀 더 동기부여가 될 것입니다.
벡터
먼저 벡터(vector)에 대한 이야기부터 하겠습니다. 고등학교를 졸업했다면 벡터가 그렇게 낯선 용어도 아닐 것입니다.

이렇게 생긴 친구들이 바로 벡터입니다. 매우 중요한 친구들이니 친해지셔야 합니다. 그래프로 나타내면 다음과 같이 나타낼 수 있습니다.

위에 그린 벡터 v와 벡터 w는 각각 숫자 2개, 즉 2개의 성분(component)으로 구성된 벡터들이기 때문에, 모두 2차원 벡터들입니다.
성분들을 하나의 열에 나열했기 때문에 열벡터(column vector)라고 부를 수 있습니다. 나중에 행벡터(row vector)라는 것도 나오는데, 행벡터는 성분들을 하나의 행에 나열한 벡터를 의미합니다. 둘은 꽤 큰 차이가 있다는 정도만 기억하고 일단 넘어가겠습니다.

열벡터들은 차원이 같다면 서로 더할 수 있습니다. 각 성분끼리 더하면 됩니다. 같은 위치에 있는 숫자들끼리 더해주면 됩니다.

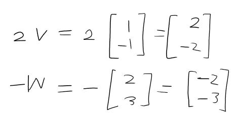
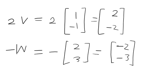
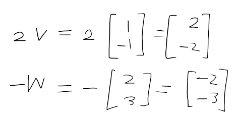
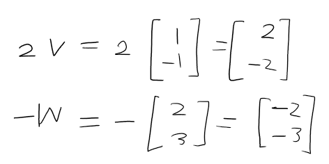
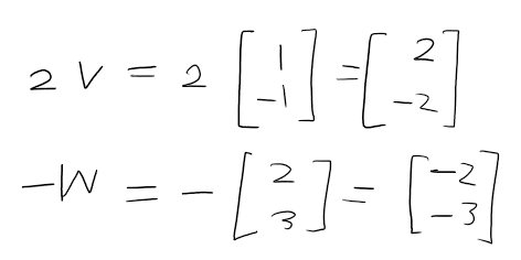
또한 어떤 숫자를 벡터에 곱해줄 수도 있습니다. 그 곱해주는 숫자를 스칼라(scalar)라고 부릅니다. 스칼라를 각 성분에 곱해줘야 합니다.

선형결합
벡터에 스칼라를 곱해준 것들을 더하는 것을 바로 선형결합 또는 선형조합(linear combination)이라고 부릅니다. 벡터 v에 3을 곱한 것과 벡터 w에 2를 곱한 것을 더해주면 다음과 같이 됩니다.

선형결합의 결과로 얻은 벡터는 다음과 같습니다. 초록색 화살표가 바로 벡터 3v + 2w입니다.

이 선형결합이라는 용어가 오늘 공부할 내용 중에서 가장 핵심이니 꼭 기억하시기 바랍니다.
지금까지는 2차원 벡터를 가지고 설명을 이어왔습니다. 그 이유는 가장 간단하기 때문입니다. 하지만 벡터는 2차원 벡터만 존재하는 것이 아니라 3차원, 4차원, 10차원, 심지어 1,000,000,000,000,000,000차원 벡터도 존재합니다. 각 벡터 당 성분의 갯수가 늘어나는 것 말고는 차이가 없습니다. 다만 4차원 이상부터는 그림을 그리기가 매우 어렵죠.
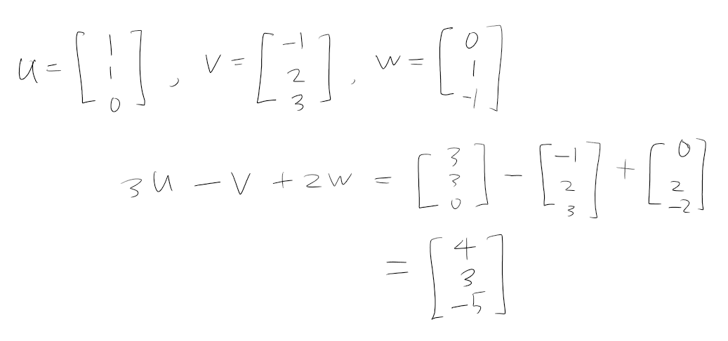
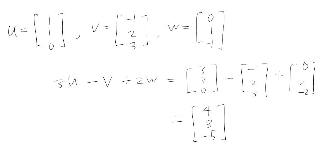
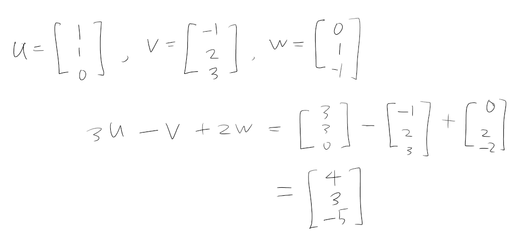
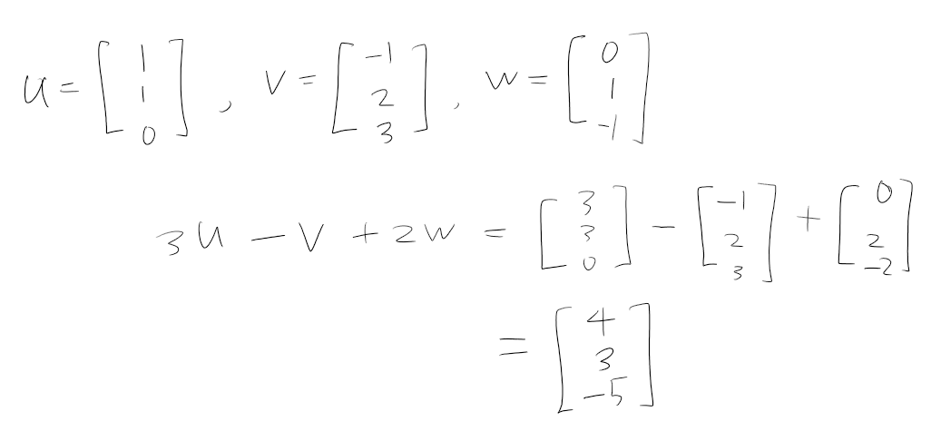
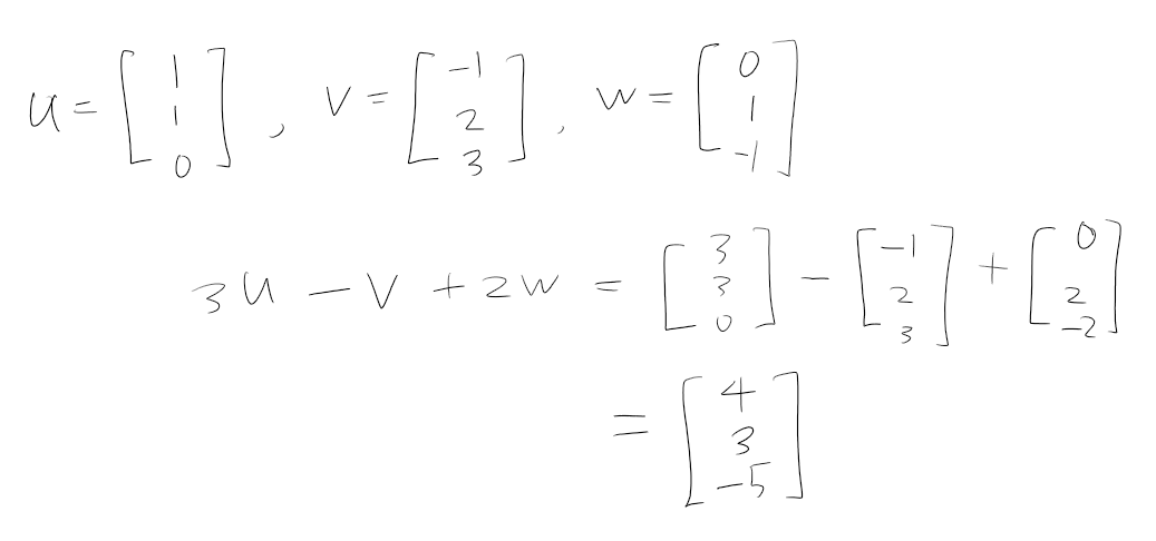
몇 차원의 벡터든 상관없이 선형결합이 가능합니다. 3차원 벡터들을 선형조합한 하나의 예는 다음과 같습니다.

이제 정말 중요한 이야기를 할 차례입니다.
- 하나의 3차원 벡터에 스칼라를 곱해주면, 3차원 공간에서 하나의 선을 채울 수 있습니다(fill).
- 서로 방향이 다른 두 개의 3차원 벡터를 선형 결합하면, 3차원 공간에서 하나의 평면을 채울 수 있습니다.
- 서로 방향이 다른 세 개의 3차원 벡터를 선형 결합해주면, 3차원 공간 전체를 채울 수 있습니다.
이게 무슨 말인지 하나씩 이해해 가보도록 하겠습니다. 먼저 하나의 3차원 벡터에 어떤 스칼라를 곱해주더라도 하나의 직선을 떠나지 않습니다. 가능한 모든 스칼라를 곱해주더라도 결국 그 방향의 직선을 채울 뿐입니다.

그런데 2개의 서로 방향이 다른 벡터를 선형결합한다면, 상황이 달라집니다. 모든 가능한 선형결과를 생각하면, 결국은 3차원 공간에서 하나의 평면을 채우게 됩니다.

만약 서로 방향이 다른 세 개의 벡터를 선형 결합해주면 어떻게 될까요? 3차원 공간의 모든 공간을 채울 수 있게 됩니다. 그 벡터들을 선형 결합하면, 3차원 공간 내 어떤 점이라도 미칠 수 있다는 의미입니다. 어떤 점이든 u + v + w, 293.24u + 32.8v - 19.22w 등의 선형 결합으로 도달할 수 있습니다.

여기서 집고 넘어가야 할 점은 세 개의 벡터 모두가 서로 선형 독립(linearly independent)일 때 그렇게 된다는 것입니다. 선형 독립이라는 말은 벡터의 방향이 서로 다르다는 뜻입니다. 선형 독립이라면 두 벡터가 길이가 0인 영벡터가 아닌 이상 v와 cu는 같을 수 없습니다.

2개의 3차원 벡터가 있는데, 서로 선형 독립이 아니라 선형 종속(linearly dependent) 관계에 있다면, 다른 말로 방향이 같다면(반대 방향도 포함), 그 두 개를 선형 조합하더라도 여전히 그 직선을 벗어날 수 없습니다.

또한 3개의 벡터 중에 2개가 방향이 같으면, 3개의 벡터가 있다하더라도 그 셋의 선형결합의 결과는 3차원 공간 내 하나의 평면을 벗어날 수 없습니다. 저들을 어떻게 조합해도 저 평면 안에 머뭅니다.

마찬가지로 3개의 벡터가 모두 선형 종속 관계라면, 그 3개 벡터의 선형 결합들은 하나의 직선만을 채울 뿐입니다.

3차원을 넘어간다면?
이제 3차원을 넘어서 4차원, 5차원,..., 100차원,...의 공간을 생각해보겠습니다.
4차원 공간에서도 하나의 벡터에 스칼라를 곱한 것은 하나의 직선을 이룹니다. (4차원 공간을 제대로 그릴 수는 없지만 대략 이렇게 그릴 수는 있습니다.)

2개의 선형 독립인 벡터를 선형 결합한 것은 4차원 공간에 있는 하나의 2차원 면을 채웁니다.

3개의 선형 독립인 벡터들의 선형 결합은 4차원 공간에 있는 하나의 3차원 면을 채웁니다. 3차원 면이라는 것이 어떤 것인지 그림으로 그려내는 것은 불가능하지만요. 그리고 4개의 선형 독립인 벡터들의 선형 결합은 4차원 공간 전체를 채웁니다.
만약 4개 중 하나가 다른 어떤 것에 선형 종속된다면, 하나의 3차원 면을 채울 뿐입니다. 2개가 다른 2개에 종속된다면 하나의 2차원 면을 채웁니다. 만약 서로 모두 종속 관계에 있다면, 어떻게 선형 결합해도 하나의 직선을 이룰 뿐입니다.
어떤 느낌인지 감이 오시나요? 나중에 심도 있게 이 관계에 대해 더 살펴보겠지만, 지금 감을 잡고 가는 것이 좋으니 이해가 안 되시는 분들은 몇 번 반복해서 읽어보시길 부탁드립니다.
제1강 끝
첫번째 강의의 끝까지 오신 여러분 수고 많으셨습니다. 유익하셨나요? 오늘 배운 내용은 선형대수학을 이해하는데 있어서 굉장히 중요한 기초를 제공하니, 꼭 이해하고 넘어가시기 바랍니다. 이해가 안되는 부분이 있다면 댓글로 꼭 질문해주세요.^^
이 글의 내용 및 그림들은 함부로 가져가지 말아주세요.
제가 꽤 많은 시간을 투자해서 작성하고 그린 것이니 이곳에서만 봐주시길 바랍니다.
이 글을 어딘가에 링크를 거는 것은 괜찮습니다.
'Research > 선형대수학' 카테고리의 다른 글
| [bskyvision의 선형대수학, 제5강] 소거법 (elimination) (10) | 2021.02.17 |
|---|---|
| [bskyvision의 선형대수학, 제4강] row picture와 column picture (6) | 2021.02.08 |
| [bskyvision의 선형대수학, 제3강] 행렬 (10) | 2021.02.01 |
| [bskyvision의 선형대수학, 제2강] 점곱과 길이 (0) | 2021.01.25 |
| [bskyvision의 선형대수학, 제0강] 동기부여: 선형대수학 F 받았던 학생이 선형대수학을 이용해서 SCI 논문을 쓰다 (8) | 2021.01.13 |
| [선형대수학] 놈(norm)이란 무엇인가? (13) | 2020.06.25 |
| [선형대수학] 고유값과 고유벡터의 물리적 의미는? (4) | 2019.12.23 |
| [선형대수학] 헤시안(Hessian) 행렬과 극소점, 극대점, 안장점 (12) | 2019.12.11 |