
지난 강의:
[bskyvision의 선형대수학, 제0강] 동기부여: 선형대수학 F 받았던 학생이 선형대수학을 이용해서 SCI 논문을 쓰다
[bskyvision의 선형대수학, 제1강] 벡터와 선형결합
[bskyvision의 선형대수학, 제2강] 점곱과 길이
지금까지 우리는 벡터가 무엇인지, 벡터들을 선형 결합한다는 것이 무슨 의미인지, 또한 행렬이 무엇인지에 대해 살펴봤습니다. 오늘은 선형 방정식들을 푸는 2가지 관점, row picture와 column picture에 대해서 알아보도록 하겠습니다.
그러기 전에 먼저 선형 방정식이 무엇인지 집고 넘어가겠습니다. 선형 방정식은 쉽게 말해서 일차 방정식이라고 생각하시면 됩니다. x = 3, y = -2, x + y = 1과 같이 최고차항의 차수가 1이 넘어가지 않는 다항 방정식을 일차 방정식이라고 부릅니다. 반면 xy = 3, x^2 = 5, y = x^2 + 2x + 1 이런 것들은 2차 방정식입니다.
왜 일차 방정식을 선형 방정식으로 부르는가 하면, 이 친구들의 경우는 그래프를 그리면 직선으로 표현되기 때문입니다.

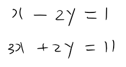
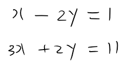
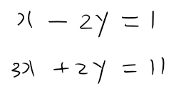
이제 선형 방정식이 무엇인지 어느 정도 감을 잡으셨죠? 그럼 이제 다음과 같은 두 개의 선형 방정식(linear equation)이 있다고 가정하겠습니다.

row picture
이 선형 방정식들을 row picture로 풀어보겠습니다. row picture로 푼다는 것은 행의 관점에서 선형 시스템을 본다는 것입니다.

사실 row picture로 푸는 방법은 우리에게 굉장히 익숙한 방식입니다. 선형 방정식들의 그래프를 각각 그린 후, 서로 만나는 교점이 바로 이 선형 시스템의 해가 되는 것입니다.

보시다시피, 이 선형시스템의 해는 x = 3, y = 1 입니다.
column picture
그렇다면, column picture로 푼다는 것은 어떤 의미일까요? 문자 그대로 이야기하자면, 열의 관점에서 선형 시스템을 보는 것입니다.

위 선형 방정식들을 우리는 다음과 같이 열 벡터들의 선형 결합(linear combination)으로 표현할 수도 있다는 것을 이전 시간에 배웠습니다.

column picture로 푼다는 것은 벡터 (1, 3)과 벡터 (-2, 2)를 어떻게 선형 결합해야지 벡터 (1, 11)이 나올지를 고민하는 것입니다. 벡터 (1, 3)을 3배해준 것을 벡터 (-2, 2)을 1배해준 것에 더하면, 벡터 (1, 11)이 나옵니다.

역시 해는 위와 동일하게, x = 3, y = 1이 나왔습니다. 이렇게 푸는 것이 column picture를 보고 푸는 것입니다.
row picture와 column picture로 푸는 것 둘 다 중요하지만, 이제 우리는 선형 시스템을 column picture로 보는 것에 더 익숙해지셔야 합니다. 왜냐하면 차원이 높아지면 row picture는 마음 속에 그 모습을 그리기조차 어렵습니다.
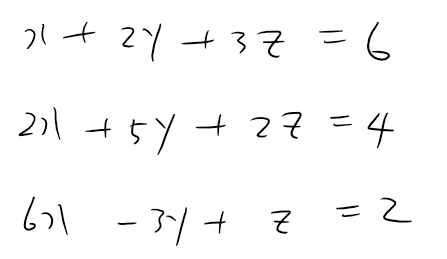
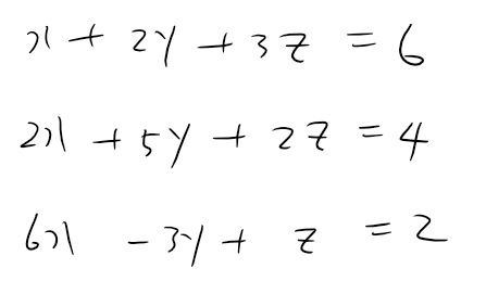
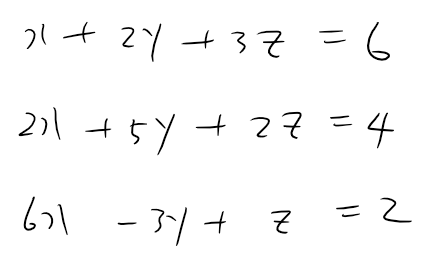
미지수가 3개, 방정식이 3개인 선형 시스템을 생각해볼까요?

각 방정식을 그래프로 그리면 3차원 공간에서의 평면들이 됩니다. 무슨 말이냐고요? 우선 x + 2y + 3z = 6을 생각해보겠습니다. 이 친구는 일단 점 (6, 0, 0)을 지납니다. 그리고, 점 (0, 3, 0)도 지나고, 점 (0, 0, 2)도 지납니다. x, y, z 절편들을 생각해본 것입니다. 얘네들을 x, y, z 3차원 그래프에 한 번 찍어보겠습니다. 이 세 점을 모두 지나는 직선은 존재할 수 없습니다. 대신 x + 2y + 3z = 6 위에 있는 모든 점들을 찍은 것을 잇는다면 다음과 같은 하나의 평면이 보일 것입니다.

마찬가지로 나머지 선형 방정식들도 그리면 평면들이 됩니다. 만약 두 개의 평면이 만난다면, 만나는 부분은 직선이 됩니다. 두 개의 선이 만날 때, 하나의 점에서 만나는 것과는 다르죠.

또 나머지 평면과 그 직선과 만나면 하나의 점에서 만나게 됩니다. 바로 그 점이 미지수가 3개, 방정식도 3개인 선형 시스템의 해가 됩니다.

3차원까지는 그나마 괜찮습니다. 그런데 만약 미지수가 4개, 방정식도 4개인 선형 시스템으로 넘어간다면, 하나의 방정식을 그래프로 그리면 4차원 공간에서의 3차원 초평면(hyperplane)이 됩니다. 3차원 초평면은 어떻게 그릴 수 있는지 저는 전혀 알 수 없습니다. 다만 그런 것이 있다고 상상할 수 있을 뿐입니다. 4개의 방정식은 각각 3차원 초평면으로 그려지고, 그 중 두 개의 3차원 초평면이 만나는 부분은 2차원 평면이 됩니다. 그 2차원 평면과 3번째 3차원 초평면이 만나는 부분은 하나의 선이 됩니다. 또한 그 선과 4번째 3차원 초평면은 바로 하나의 점에서 만나게 되고요. 결과적으로 그 점이 이 선형시스템의 해가 됩니다. 복잡하죠? 아무튼 row picture로 생각하면, 차원이 높아질수록 그림이 잘 안 그려집니다.
반면, column picture로 보면 언제든 벡터로 생각하면 되기 때문에 한결 수월합니다.

아무리 차원이 높아지더라도 그냥 단순히 벡터로 생각하면 됩니다. 물론 차원이 높아지면 축을 제대로 그리는 것은 거의 불가능해지긴 합니다만.
아무튼 요점은 앞으로 선형 방정식들을 보게 된다면, 다른 말로 선형 시스템을 보게 된다면 column picture로 보도록 노력해야 한다는 것입니다.
Ax = b
이제 선형 방정식들이 주어지면 행렬과 벡터를 이용해서 Ax = b로 나타낼 것입니다.

이 때 좌변의 Ax를 푸는 것도 두 가지로 생각할 수 있습니다. 1) row를 이용한 곱, 2) column을 이용한 곱.
row를 이용한 곱은 우리가 고등학교 때 배운 방식으로 각 행 벡터과 벡터 x의 점곱(dot product)으로 각 성분을 구하는 것입니다.

반면 column을 이용한 곱은 열 벡터들의 선형 조합으로 Ax를 구하는 것입니다.

Ax를 푸는 것 역시 column을 이용하는 것에 익숙해지도록 노력해야합니다.
제4강 끝
오늘은 기존에 우리가 선형 방정식을 해석할 때 사용했던 관점을 바꾸는 작업을 했습니다. 그 전에는 행으로 선형 시스템을 분석했다면, 이제는 열로 선형 시스템을 분석하도록 노력해야 합니다. 사실 한 번 고착화된 습관을 바꾸는 것이 쉽진 않은 일이지만, 그래도 바꿔야합니다. 선형대수학의 더 깊은 세계로 들어가려면 그리해야 합니다.
이해가 되지 않는 부분이 있거나, 제가 설명한 부분 중 부족하거나 틀린 부분이 있다면 꼭 댓글로 남겨주시기 부탁드립니다. 오늘도 수고하셨습니다!
이 글의 내용 및 그림들은 함부로 가져가지 말아주세요.
제가 꽤 많은 시간을 투자해서 작성하고 그린 것이니 이곳에서만 봐주시길 바랍니다.
이 글을 어딘가에 링크를 거는 것은 괜찮습니다.
'Research > 선형대수학' 카테고리의 다른 글
| [bskyvision의 선형대수학, 제6강] 행렬을 이용한 소거법 (14) | 2021.03.01 |
|---|---|
| [bskyvision의 선형대수학, 제5강] 소거법 (elimination) (10) | 2021.02.17 |
| [bskyvision의 선형대수학, 제3강] 행렬 (10) | 2021.02.01 |
| [bskyvision의 선형대수학, 제2강] 점곱과 길이 (0) | 2021.01.25 |
| [bskyvision의 선형대수학, 제1강] 벡터와 선형결합 (6) | 2021.01.18 |
| [bskyvision의 선형대수학, 제0강] 동기부여: 선형대수학 F 받았던 학생이 선형대수학을 이용해서 SCI 논문을 쓰다 (8) | 2021.01.13 |
| [선형대수학] 놈(norm)이란 무엇인가? (13) | 2020.06.25 |
| [선형대수학] 고유값과 고유벡터의 물리적 의미는? (4) | 2019.12.23 |